Призначення ланцюга подач токарно-гвинторізного верстата - забезпечити механічне переміщення різця, закріпленого на супорті, щодо заготівлі, що обертається при токарній обробці. Сучасні універсальні токарно-гвинторізні верстати мають коробку подач , яка зазвичай закріплена на станині нижче передньої бабки.
Коробка подач служить перемикання швидкості обертання ходового ггвинта і ходового валу, т. е. вибору швидкості подачі різця вздовж осі шпинделя. Наприклад, при нарізанні метричного різьблення з кроком 1 мм механізм коробки подач повинен забезпечити переміщення різця (подачу) вздовж заготовки на 1 мм за один оборот шпинделя.
Усередині коробки подач знаходиться редуктор, який складається з зубчастиних передач, що перемикаються. На вхідний вал коробки подач через змінні зубчасті колеса (гітара) надходить момент, що крутить, від шпинделя. На виході коробки подач є, як правило, ходовий вал і ходовий гвинт, крутний момент від яких надходить на фартух супорта.
При нарізанні різьблення коробка подач передає обертання ходовому гвинту; при токарній обробці та нарізанні торцевих (плоських) різьблень використовується ходовий валик.
Використання ходового валика для подачі при токарній обробці дозволяє довше зберегти точність ходового ггвинта, необхідну при нарізанні різьблень.
Змінні зубчасті колеса (гітара) використовуються лише тоді, коли необхідної подачі не можна досягти перемиканням рукояток коробки подач.
Джерелом руху (вихідною ланкою) ланцюга подач є шпиндель, тому швидкість подачі в токарно-гвинторізних верстатах вимірюється і вказується в міліметрах на один оберт шпинделя (мм/об).
Механізм подачі повинен допускати:

Загальний вигляд коробки подач у зборі

Фото коробки подач

1. Схема кінематична токарно-гвинторізного верстата 1К62. Дивитись у збільшеному масштабі
2. Схема кінематична токарно-гвинторізного верстата 1К62. Дивитись у збільшеному масштабі
3. Схема кінематична токарно-гвинторізного верстата 1К62. Дивитись у збільшеному масштабі
Головний рух . Головним рухом у верстаті є обертання шпинделя, яке він отримує від електродвигуна 1 через клинопасову передачу зі шківами 2-3 і коробку швидкостей. На приймальному валу II встановлена двостороння багатодискова фрикційна муфта 97. Для отримання прямого обертання шпинделя муфту 97 зміщують вліво і привід обертання здійснюється по наступному ланцюгу зубчастиних коліс: 4-5 або 6-7, 8-9 або 10-11, або 12- 13, вал /V, колеса 14-15, шпиндель V, або через перебір, що складається з групи передач з двовінцевими блоками 16-17 і 18-19 і зубчастиних коліс 20 і 21. Остання пара входить в зачеплення при переміщенні вправо блоку 15- 21 на шпинделі. Перемикаючи блоки коліс, можна отримати шість варіантів зачеплення зубчастиних коліс при передачі обертання з валу IV безпосередньо на шпиндель і 24 варіанти при передачі обертання через перебір. Насправді кількість значень частот обертань шпинделя: менше (23), оскільки передавальні відносини деяких варіантів чисельно збігаються.
Реверсування шпинделя виконують переміщенням 97 муфти вправо. Тоді обертання з валу II на вал III передається через зубчасті колеса 22-23, 24-12 і далі попереднього ланцюга. Кількість варіантів зачеплення 15, фактичних значень частот обертання 12, так як передавальні відносини деяких варіантів також чисельно збігаються.
Рух подачі . Механізм подачі включає чотири кінематичні ланцюги: гвинторізну, поздовжньої і поперечної подачі, ланцюг прискорених переміщень супорта. Обертання валу VIII передається від шпинделя V через зубчасті колеса 25-26, а при нарізанні різьблення зі збільшеним кроком - від вала VI через ланку збільшення кроку і далі через зубчасті колеса 27-28. У цьому випадку ланка збільшення кроку може дати чотири варіанти передач:
Гвинторізний ланцюг . При нарізанні різьблення подача супорта здійснюється від ходового ггвинта 68 через маточну гайку, закріплену у фартуху. Для нарізування метричної і модульної різьблень гвинторізний ланцюг встановлюють за першим варіантом, а для дюймових і питних — за другим. Зміна величини кроку різьблення досягається перемиканням зубчастиних коліс ланки збільшення кроку, механізму Нортона, блоків 61-63 та 67-66 та встановленням змінних коліс на гітарі. При точенні та нарізанні метричних і дюймових різьблень у зачепленні знаходяться змінні зубчасті колеса 39-43-40, а при нарізуванні модульних і питних - 41-43-42.
У особливих випадках, при нарізанні різьблення високої точності, для усунення впливу похибок кінематичного ланцюга останній вкорочують включенням муфт 98, 99 і 101, в результаті чого вали X, XII і XV утворюють разом з ходовим гвинтом 68 єдиний жорсткий зв'язок. Гвинторізний ланцюг для нарізування різьблень з різним кроком налаштовують у цьому випадку лише підбором змінних коліс на гітарі.
Поздовжня та поперечна подачі супорта. Для передачі механізму фартуха служить ходовий вал XVI. По ньому вздовж шпонкового паза ковзає зубчасте колесо 72, що передає обертання від валу XVI через пару зубчастиних коліс 73-74 і черв'ячну пару 75-76 валу XVII.
Для отримання поздовжньої подачі супорта та його реверсування включають одну з кулачкових муфт - 102 або 103. Тоді обертання від вала XVII передається зубчастиними колесами 77-78-79 або 80-81 валу XVIII і далі парою 82-83 - рейкового колеса 84. рейка 85 нерухомо пов'язана зі станиною верстата, рейкове колесо 84, обертаючись, одночасно котиться по рейці і тягне за собою фартух із супортом.
Поперечна подача та її реверсування здійснюються включенням муфт 104 або 105. У цьому випадку через передачі 77-78-86 або 80-87 обертання передається валу XIX і далі через зубчасті колеса 55-89-90 на гвинт 91 який повідомляє рух поперечному супорту.
Ланцюг прискореного переміщення супорта. Для здійснення прискореного (установного) переміщення супорта ходовому валу XVI повідомляється швидке обертання від електродвигуна 92 через клинопасову передачу 93-94. Механізм подачі супорта через коробку подач при цьому можна не вимикати, так як в ланцюзі приводу ходового валу встановлена муфта обгону 106. За допомогою гвинтових пар 95 і 96 можна вручну переміщати різцеві санки і піноль задньої бабки.
Механізм передньої бабки дозволяє:
Коробка подач отримує рух від вихідного валу передньої бабки через змінні зубчасті колеса триплана.
Механізм коробки подач дозволяє отримати всі передбачені ГОСТом види різьблення та необхідні подачі.
Через ходовий гвинт з кроком 12 мм (без ланки збільшення кроку) можна отримати такі різьблення:
За допомогою механізму збільшення кроку при числі обертів шпинделя від 12,5 до 40 можна отримати різьблення зі збільшеним кроком (перевищує нормальний у 32 рази, а при числі обертів від 50 до 160 у 8 разів відповідно до даних таблиці на рукоятці 20 (див. 5).
Через ходовий валик супорт при будь-якій кількості обертів шпинделя отримує поздовжні подачі від 0,07 до 2,08 мм/об і поперечні від 0,035 до 1,04 мм/об, а при числі обертів від 50 до 630 за хвилину поздовжні подачі від 2, 28 до 4,16 мм/про та поперечні від 1,14 до 2,08 мм/про.
Для нарізання більш точних різьблень у коробці подач передбачено положення рукоятки 19 при якому ходовий гвинт включається безпосередньо, минаючи механізм коробки подач. У цьому необхідний крок підбирається змінними шестернями спеціального набору.
Поворотом рукоятки 20 вибирається вибір ряду різьблення або подач. Для отримання необхідної величини з вибраного ряду різьблення або подачі, необхідно барабан за рукоятки витягнути на себе, повернути до збігу ризики диска з ризиком барабана, а потім подати диск вперед у попереднє положення
Для здійснення швидких переміщень супорта в коробці подачі на вихідному валу змонтовано обгінну муфту.

Мал. 7. Напрямки передачі руху через коробку подач при нарізанні різних різьблень та забезпеченні поздовжніх та поперечних подач.
Рух подач запозичується від валу шпинделя (VI) через зубчасті колеса гітари 60/60. Далі з VII на VIII вал рух передається через реверсивний механізм (42/42 або 28/56 або 35/28/35). З вала VIII на вал IX рух передається через змінні зубчасті колеса (42/95/50 або 64/95/97). Спільно з валом IX обертається колесо 35, від нього рух розгалужується на два напрямки (див. рис. 7): по першому напрямку передається обертання при нарізанні дюймових і різьблення питних, а по другому метричних, модульних і забезпечення поздовжніх і поперечних подач.
Перший напрямок передачі обертання . Муфта М2 вимкнена і від колеса 35 рух передається через колеса 37/35 на вал X, з якого через колеса 28/25 отримує обертання накидний пересувний блок коліс 25-36. Колесо 36 цього блоку може бути зачеплене з будь-яким колесом семиступінчастого блоку 16 зубчастиних коліс (конус Нортона) (48,44,40,36,32,28,26), що призведе у свою чергу до обертання вала XI, а разом з ним колеса 35 (муфта М3 у цей час вимкнена). Далі рух передається колесами 35/28, 28/35 (два колеса 28 закріплені на загальній втулці, але обертання валу XIII не передають обертаються на валу вільно). Муфта М4 вимкнена (вона пов'язує обертання валів X і XII при передачі обертання другого напрямку). Від колеса 35 обертання передається валу XII спільно з яким обертається блок коліс 18-28. З валу XII на вал XIII можлива передача руху через колеса 18/45 або 28/35. Далі з валу XIII на вал XIV використовується пара коліс 35/28 чи 15/48. Вал XIV зв'язується з валом XVI при включенні муфти М5 і таким чином обертання отримує ходовий гвинт t = 12 мм.
Другий напрямок передачі обертання . муфта М2 включається, одночасно виводиться з зачеплення колесо 35, що знаходиться на валу X, обертання отримує семиступінчастиний блок зубчастиних коліс. Від цього блоку рух передається на накидний блок коліс 36-25, далі на вал X через колеса 25/28, при цьому муфта М4 включена (при переміщенні правої напівмуфти вліво виводиться з зачеплення колеса 35 і 28) і отже вал XII обертається разом з валом X. Далі рух передається так, як описано вище: з валу XII на вал XIII, а з нього на вал XIV. Причому при нарізанні метричної і дюймової різьблення 17 обертання в гітарі передається через змінні зубчасті колеса 42/95/50, а при нарізанні модульної і різьб різьб змінні блоки перевертаються і тоді обертання буде передаватися через зубчасті колеса 64/95/. При нарізанні різьблення рух передається ходовому гвинту, а для отримання поздовжніх і поперечних подач муфта М5 відключаться і обертання отримує вал XV через двовінцеві колеса 28/56 і обгінну муфту Мо. При зміщенні коліс 28-28 вліво, її лівий зубчастиний вінець входить у зачеплення з колесом 56, жорстко закріпленим на валу XV, а обертання останньому передається крім обгінної муфти, що необхідно при нарізанні різьблення торця.
Коробка подач дає можливість нарізати всі стандартні різьблення та забезпечує необхідні подачі, величини яких вказані у технічній характеристиці верстата.
Від ходового валу XVII через колеса 27/20/28, запобіжну муфту Мп та черв'ячну пару 4–20 отримує обертання вал XIX (див. рис. 5). Останній пов'язаний передньої шестернею 40 безпосередньо із зубчастиними вінцями кулачкових муфт М7 і М9, а задньої шестернею 40 через паразитне колесо 45 із зубчастиними вінцями муфт М6 та М8. Для сполучення супорту поздовжньої подачі рукояткою 14 (див. рис. 1) включається муфта М7, тоді від валу XIX до рейкового колеса Z = 10; m = 3 обертання передається через зубчасті пари 40/37 та 14/66. Для повідомлення супорту поперечної подачі вперед і назад включаються відповідно муфти М9 і М8. При управлінні подачами супорта виконано принцип мнемонічності, тобто напрямок нахилу рукоятки 14 відповідає напрямку подачі супорта.
При виконанні токарних робіт кінематичний ланцюг подачі узгоджує обертання шпинделя з переміщенням супорта в поздовжньому або поперечному напрямках: за 1 оберт шпинделя супорт повинен переміститися на величину S.
УКБ ланцюга поздовжньої подачі має вигляд:
(3) S = 1об.шп · inn · π · m · z мм/об
де: i nn - Передатне відношення приводу подачі від шпинделя до рейкового колеса;
π·m·z мм/об – довжина ділового кола рейкового колеса;
УКБ для ланцюга мінімальної поздовжньої подачі запишеться так:

Швидкі (допоміжні) переміщення супорту повідомляються від окремого електродвигуна М2 (N = 1 кВт, nМ2 = 1410 об/хв) (див. рис. 5), через ременную передачу, ходовий вал і далі за вище розглянутими кінематичними ланцюгами механізму фартуха. Наявність на лівому кінці ходового валу муфти обгону М0 дозволяє повідомляти йому більшу частоту обертання (від електродвигуна М2) без вимкнення робочої подачі. Двигун М2 вмикається кнопкою 13.
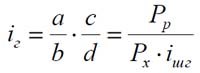
При нарізанні різьблення за один оберт шпинделя супорт (різець) повинен переміститися на крок різьблення P p . УКБ гвинторізного ланцюга має такий вигляд:
(4) S = P p 1ob.shp · i nb · P x
де i n. – передатне відношення відповідного гвинторізного кінематичного ланцюга від шпинделя до ходового ггвинта;
P x – крок ходового ггвинта верстата мм (PX = 12 мм).
Знаючи напрямки передачі руху через коробку подач (рис. 7) та використовуючи кінематичну схему верстата (див. рис. 5), можна записати УКБ будь-якого гвинторізного ланцюга. Наприклад, для метричного різьблення з мінімальним кроком:

При нарізанні дюймових різьблень крок задається числом ниток на дюйм:
(5) P p = 25,4 / k
де: k – число ниток однією дюйм різьблення (1 " = 25,4 мм).
УКБ ланцюга для нарізування дюймового різьблення з мінімальним кроком має вигляд:

Крок модульної різьби виражається через модуль, тобто:
(6) P p = · π · m · k
Питчеве різьблення визначається діаметральним пітчем П. Формула для визначення кроку нарізаного різьблення має вигляд:
(7) P p = 25,4 / k
де: П - число різьби, що нарізається.
УКБ ланцюгів для нарізування модульної та різьби живлення можуть бути записані аналогічно вищевикладеному, керуючись інформацією наведеною в п.4.5.3.
При нарізанні різьблення підвищеної точності обертання на ходовий гвинт передається безпосередньо. З цією метою включаються зубчасті муфти М2, М4 та М5, з'єднуючи між собою вали Х, XII, ХV та ходовий гвинт. Точність різьби, що нарізається, в цьому випадку підвищується за рахунок зменшення довжини гвинторізного кінематичного ланцюга.
УКБ гвинторізного ланцюга у разі запишеться так:
(8) P p = 1об.шп · i шг · i g · P x
де: i Ш.Г – передатне відношення ланцюга від шпинделя до гітари змінних коліс;
i г – передатне відношення змінних коліс гітари.
Вирішуючи рівняння (8) щодо i г отримаємо наступну формулу для підбору змінних зубчастиних коліс в гітару:

Цією формулою можна також користуватися при розрахунку i г у разі нарізування нестандартних різьблень.
При нарізанні різьблення з нормальним кроком (P p = 1–12 мм) обертання на вал XIII передається безпосередньо від шпинделя через колеса 60/60 (i=1). Для нарізування різьблення зі збільшеним кроком (P p = 14–192 мм) зубчасте колесо Z=45 вала VIII вводиться в зачеплення з колесом Z=45 вала IV, а обертання на шпиндель має передаватися через перебір. Залежно від величини передавального відношення від шпинделя до вала VIII (залежно від положення блоків перебору), крок різьблення, що нарізається, буде збільшений в 2, 8 і 32 рази.
Торцеве різьблення застосовується, наприклад, в самоцентруючих кулачкових патронах, в яких рух кулачків у радіальному напрямку повідомляється за допомогою диска, що має різьблення на торці. Нарізаються торцеві різьблення по ланцюгу дюймових різьблень. Ланцюг пов'язує обертання шпинделя з обертанням ходового ггвинта поперечної подачі. Налаштування забезпечується гітарою змінних коліс. Відведення супорта (різця) у вихідне положення для виконання наступного переходу при нарізанні різьби виконується також шляхом реверсування обертання шпинделя. Щоб виключити з ланцюга обгінну муфту М0 (див. рис. 7), яка передає рух на ходовий вал тільки при прямому обертанні шпинделя, одне з коліс блоку 28-28 на валу XV вводиться в зачеплення з жорсткозакріпленим на ходовому валу зубчастиним колесом Z=56 .
При нарізанні багатозахідних різьблень у рівняння налаштування (8) замість кроку різьблення P p слід підставити крок гвинтової лінії S = К·P p (К – число заходів). Для того, щоб нарізати 2-й, 3-й і т. д. заходи різьблення, необхідно зробити поділ, який може бути виконано декількома способами:
Перший спосіб поділу . Поворот заготовки можна виконати за допомогою спеціального патрона, що складається з двох частинин. Одна з них закріплена жорстко на шпинделі, а інша з поводковим пальцем може повертатися щодо першої частинини. Відлік кута повороту заготовки провадиться за кутовою шкалою однієї з частинин патрона. Після поділу обидві частинини патрона жорстко з'єднуються між собою.
Другий спосіб поділу . Розподіл по другому способу здійснюється поворотом заготовки (шпинделя) при розімкнутому гвинторізному ланцюгу. При цьому зубчастиний блок на валу VIII виводять із зачеплення та ставлять у нейтральне положення. Кут повороту відраховують за шкалою, нанесеною на задньому кінці шпинделя. На шпинделі та зубчастому блоці є зубчасті колеса, число зубів яких дорівнює числу поділів на шкалі (Z=60), що дозволяє вільно вводити в зачеплення ці колеса після розподілу кола на 2, 3, 4, 5, 6, 10, 12, 15 , 30 та 60 частинин. Для виконання цього способу поділу необхідно:
Третій спосіб розподілу . При третьому способі розподілу після нарізання першого заходу різьблення на повний профіль різець переміщують у поздовжньому напрямку гвинтом верхніх різцевих санчат на величину S/K. Відлік ведуть по лімбу. Для більшої точності застосовують індикаторні пристрої.

Загальний вигляд коробки подач токарно-гвинторізного верстата. Дивитись у збільшеному масштабі

Влаштування коробки подач токарно-гвинторізного верстата. Дивитись у збільшеному масштабі

Влаштування коробки подач токарно-гвинторізного верстата. Дивитись у збільшеному масштабі

Влаштування коробки подач токарно-гвинторізного верстата. Дивитись у збільшеному масштабі
Пекеліс Р. Д., Гельберг Б.Т. Л., "Машинобудування". 1970 р.
Коробка подач токарного верстата